欢迎来到深圳长宜科创医药有限公司
位置:首页 > 学术交流 > HemaClear
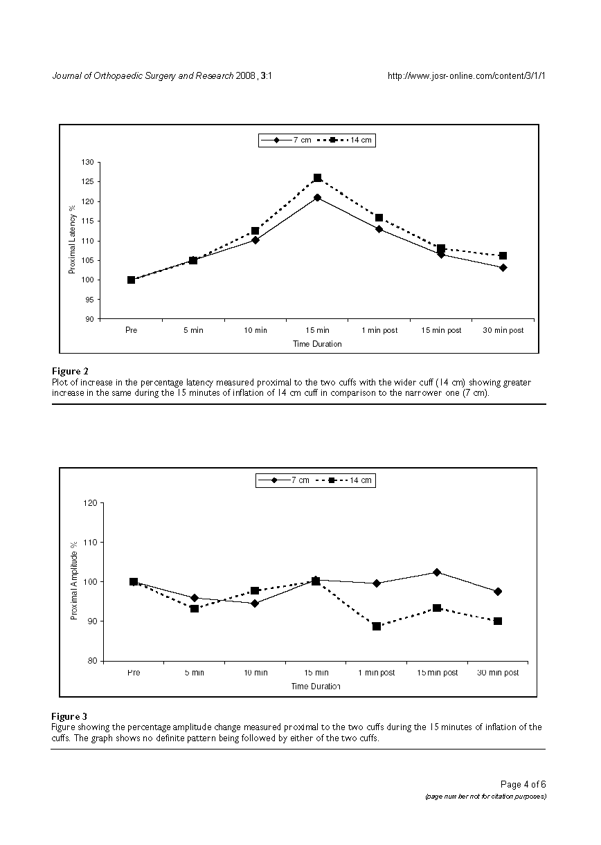
【生理机能】不同止血袖口对正中神经的运动神经传导的影响 时间:2017-03-15
背景:外科手术中上下肢手术区域保持无血状态是必要条件。目前驱血绷带和充气止血带是最常用的驱血方法,但是会伴随有一些并发症。神经麻痹就是最常见的一个并发症。使用宽袖口是可以降低止血带引起的软组织损伤的风险,比窄的袖口有优势,是由于宽袖口可以造成较低的阻塞压。通过记录和研究发现,止血带远端和近端的正中神经传导值是一致的。神经传导参数包括有神经传导速度、潜伏期和振幅。
方法:在极度健康血压正常人的身上应用7cm-14cm宽度的血压计袖口(9男,11女,年龄在22-27)。首次测量心肌收缩压,然后袖口的压强在20-30mmHg以上保持15min。在止血带充气和松气之前分别被记录。
结果:14cm袖口的神经传导比7cm袖口的更受影响。
结论:宽袖口结果导致更严重的神经改变。虽然宽袖口的血液闭塞是低膨胀压,但是对神经传导是很有影响的。当选择用宽袖口的时候,应该清晰的记录电生理学的改变和闭塞压。
学术交流 ACADEMIC EXCHANGE
长宜医药为广大消费者提供安全可靠产品
Copyright © 2010-2016 长宜医药有限公司 changyi.com 保留一切权利 粤ICP备17068502号 | 工业和信息化部备案管理系统网址:http://beian.miit.gov.cn/    技术支持: 方维网站建设
0755-82565811 周一至周五 9:00-18:00
在线客服